PAGE 1

Revision Sheet (Discussion)

Topic: St Line And Circle(Single Choice Correct )

CLICK to go to PAGE 2: Multiple Choice Correct

Problem 1 Problem 2 Problem 3 Problem 4 Problem 5 Problem 6 Problem 7 Problem 8

Problem 9 Problem 10 Problem 11 Problem 12 Problem 13 Problem 14 Problem 15 Problem 16

Problem 17 Problem 18 Problem 19 Problem 20 Problem 21

Problem -1

Question

Hint Problem -1

Problem 1

Problem -2

Question

Hint Problem -2

Problem 2

Problem -3

Question

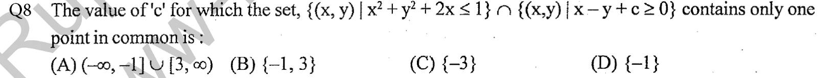
Problem -4

Question

Hint Problem -4

Problem 4

Problem -5

Question

Problem -6

Question

Hint Problem -6

Problem 6

Problem -7

Question

Problem -8

Question

Hint Problem -8

Problem 8

Problem -9

Question

Problem -10

Question

Problem -11

Question

Hint Problem -11

Problem 11

Problem -12

Question

Hint Problem -12

Problem 12

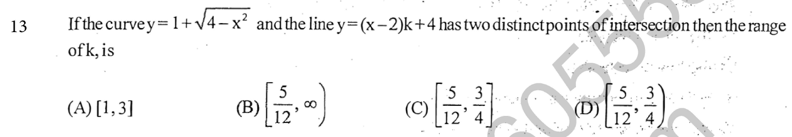
Problem -13

Question

Problem -14

Question

Hint Problem -14

Problem 14

Problem -15

Question

Hint Problem -15

Problem 15

Problem -16

Question

Hint Problem -16

Problem 16

Problem -17

Question

Hint Problem -17

Problem 17

Problem -18

Question

Hint Problem -18

Problem 18

Problem -19

Question

Hint Problem -19

Problem 19

Problem -20

Question

Hint Problem -20

Problem 20

Problem -21

Question

Hint Problem -21

Problem 21


Get The Momentum:Give St Line + Circle (Mains Pattern) Test

Get The Momentum:Give St Line + Circle (Advanced Pattern) Test




Rupesh Kumar Jha, 7086055586
+−×÷=%∑∏√