PAGE 4

Revision Sheet (Discussion)

Topic: St Line And Circle(Paragraph )

Click To Go To Page 3: Paragraph

Problem 1 Problem 2 Problem 3 Problem 4 Problem 5 Problem 6 Problem 7 Problem 8

Problem 9 Problem 10 Problem 11 Problem 12 Problem 13

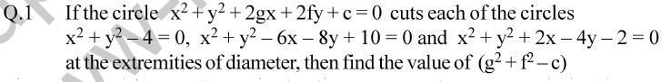
Problem -1

Question

Hint Problem -1

Problem 1

Problem -2

Question

Hint Problem -2

Problem 2

Problem -3

Question

Hint Problem -3

Problem 3

Problem -4

Question

Hint Problem -4

Problem 4

Problem -5

Question

Hint Problem -5

Problem 5

Problem -6

Question

Hint Problem -6

Problem 6

Problem -7

Question

Hint Problem -7

Problem 7

Problem -8

Question

Hint Problem -8

Problem 8

Problem -9

Question

Hint Problem -9

Problem 9

Problem -10

Question

Hint Problem -10

Problem 10

Problem -11

Question

Hint Problem -10

Problem 10

Problem -12

Question

Hint Problem -12

Problem 12

Problem -13

Question

Hint Problem -13

Problem 13

Get The Momentum:Give St Line + Circle (Mains Pattern) Test Get The Momentum:Give St Line + Circle (Advanced Pattern) Test
Homepage(Infinity)


Rupesh Kumar Jha, 7086055586
+−×÷=%∑∏√