Homepage(Infinity)
Online Tests
Video Classes List(Board)
NCERT(Matrices)
NCERT Exempler(Matrices)
PAGE 1
Page Link
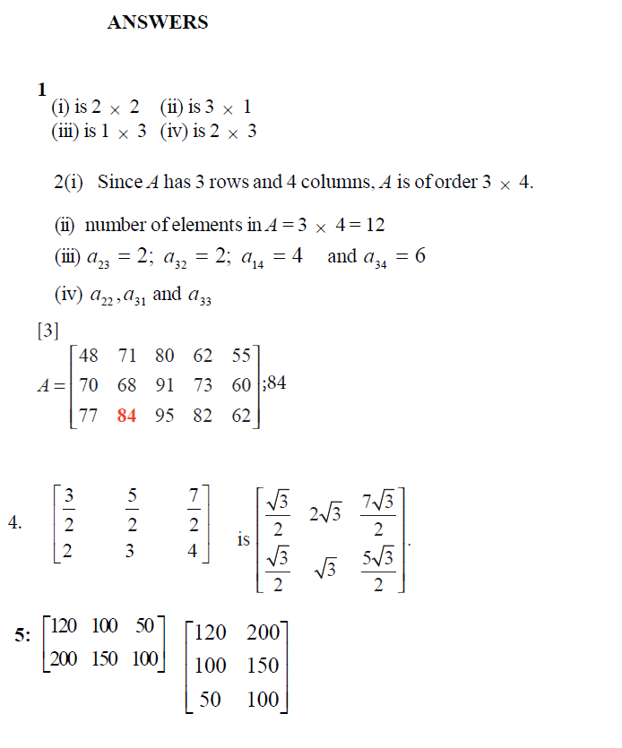
1
2
3
4
5
6
7
Chapter III: Matrices
Level: Board
Topic: What is Matrices
1. Matrices
Video
Matrices
Example 1.1
Problem 1.2
CLICK FOR Next Topic (Types of matrices) »
Rupesh Kumar Jha, 7086055586
+−×÷=%∑∏√