Page 4 of Logarithm

PAGE LINK

1 2 3 4 5 6 7 8 9

Chapter I: Logarithm
Level: Entrance

Topic: Principal Properties

Principal Properties

Question

Principal Properties

Principal Properties

Example 1.7.1

Question

Detailed Solution Examples1.7.1

Example 1.7.1

Example 1.7.2

Question

Detailed Solution Examples1.7.2

Example 1.7.2

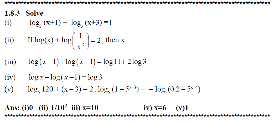
Problem 1.8

Question
Question
Question



Rupesh Kumar Jha, 7086055586
+−×÷=%∑∏√