 
								PAGE 1 of Modulus
Chapter 2: Fundamental  
	Level: Entrance 
							Topic : Modulus
 
 Modulus
Introduction
Example 3.1.1
 
 Detailed Solution Examples 3.1.1
Example 3.1.1
Problem 3.1.2
 
 Problem 3.1.3
 
 Detailed Solution Examples 3.1.3
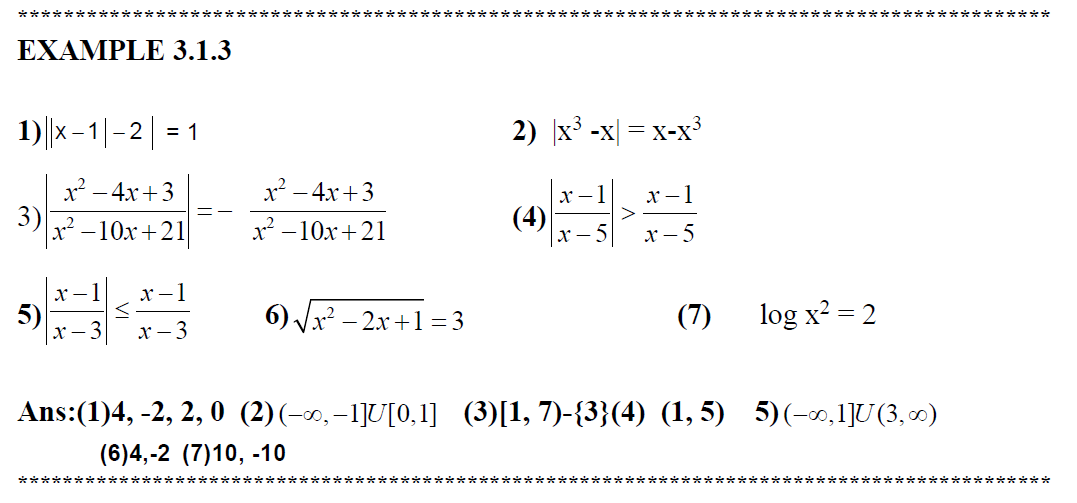
Example 3.1.3
Problem 3.1.4
 
 Problem 3.1.5
 
 Detailed Solution Examples 3.1.5
Example 3.1.5
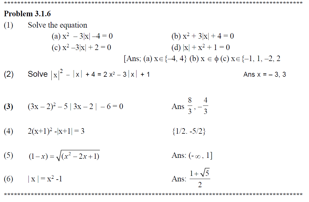
Problem 3.1.6
