 
								PAGE 1
Chapter I:Fundamental Of Mathematics 
	Level:Entrance
							Topic I:Surds
PAGE LINK
page1[Surds] page 3[Factorization]Introduction
Introduction
Surds
 
 Example 1.1
 
 Detailed Solution Examples 1.1
Example 1.1
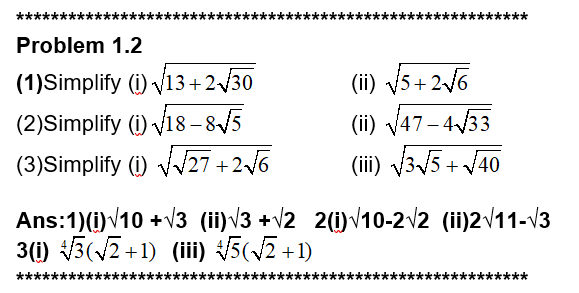
Problem 1.2
 
 Example 1.3
 
 Detailed Solution Examples 1.3
Example 1.3