 
								PAGE 3 [Factorization]
PAGE LINK
page1[Surds] page 3[Factorization]Chapter I:Fundamental Of Mathematics 
	Level:Entrance
							Topic II:Factorization
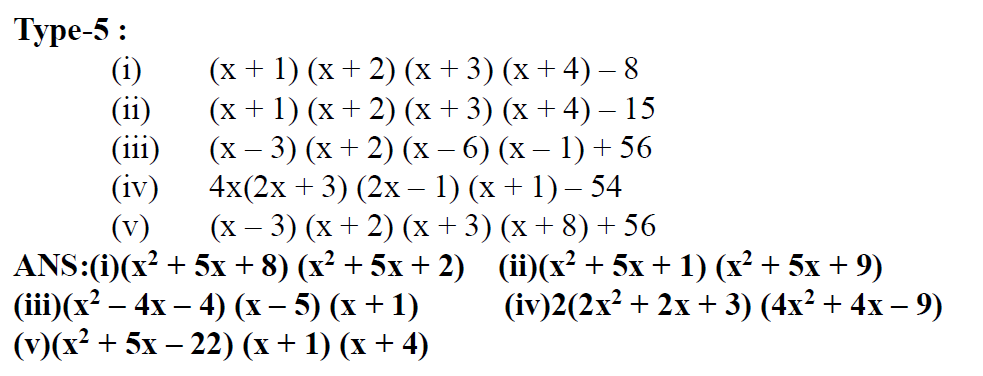
Factorization
 
 Some Solved Examples
 
 Video Solutions
Factorization
Problems
 
  
  
  
  
  
								
 
  
 Factorization
 
  
  
  
 