z
INFINITY
Homepage(Infinity)
Online Tests
Youtube Playlist(Function)
Video Classes List
Domain Assignment(PDF)
PAGE 1 of Domain
PAGE LINK
page1(Domain )
2
3
4
5
6
7
8
page9(Range)
10
11
12
13
14[GIF]
Chapter I: Function
Level: Entrance
Topic Domain Section: Algebraic
Example 1.1
Detailed Solution Examples 1.1.1
Example 1.1.1
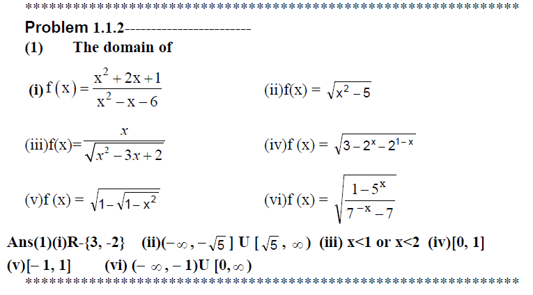
Problem 1.1.2
Click Of Next Topic :(Modulus Domain) »
Rupesh Kumar Jha, 7086055586
+−×÷=%∑∏√