 
								PAGE 6 Of Domain
Chapter I: Function  
	Level: Entrance 
							Topic : Domain 
 Section:Inverse Trigo
						Domain OF Inverse Trigo Function
 
 1.6.1
 
 Detailed Sol of 1.6.1
1.6.1
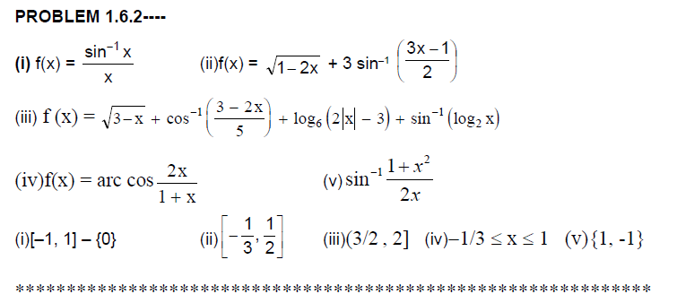
Problem 1.6.2
 
  
								
 
  
 1.6.1
