 
								PAGE 11 of Range
Chapter I: Function  
	Level: Entrance 
							Topic : Range 
Section V-VI
						Section - V 
 Range Of Misc Types
									 
 Detailed Sol of Excercise 5.1-5.5
Ex 5.1- 5.5
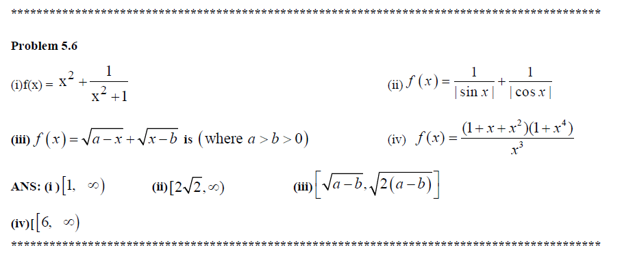
Problem 5.6
 
 Section - VI 
 Range If Function is Monotonic
									 
 Detailed Sol of Excercise 6.1-6.3
Ex 6.1 -6.3
Problem 6.4
