Homepage(Infinity)
Online Tests
Youtube Playlist(Function)
Video Classes List
Domain Assignment(PDF)
PAGE 8 Of Domain
PAGE LINK
page1(Domain )
2
3
4
5
6
7
8
page9(Range)
10
11
12
13
14[GIF]
Chapter I: Function
Level: Entrance
Topic : Domain
Section:Misc
Domain OF Composition
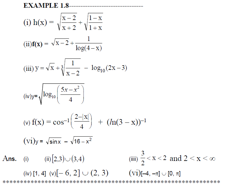
1.8.1
Detailed Sol of 1.8.1
1.8.1
Problem 1.8.2
Click for Next Topic(Range 9) »
« Click for Previous Topic-(Discrete Function)
Rupesh Kumar Jha, 7086055586
+−×÷=%∑∏√